1. Anasayfa
  2. Yapay Zeka

Alibaba’dan Ücretsiz Qwen3.5: Çin’de Açık Ağırlıklı Model Yarışı Hız Kesmiyor

Alibaba’dan Ücretsiz Qwen3.5: Çin’de Açık Ağırlıklı Model Yarışı Hız Kesmiyor
0

Alibaba, yeni model serisinin ilk üyesi olan Qwen3.5-397B-A17B modelini yayımladı. Metin, görüntü ve videoyu tek bir mimaride işleyen bu model, açık ağırlıklı bir yapıya sahip ve ücretsiz sunuluyor.

Model toplamda 397 milyar parametre barındırıyor ancak her bir sorgu için sadece 17 milyar parametre devreye giriyor. Diğer büyük YZ modelleri gibi, göreve bağlı olarak ağın sadece ilgili kısımlarını aktifleştiren uzmanlar karışımı (mixture-of-experts) mimarisini kullanıyor.

Toplam parametre sayısının aktif parametreye oranı, tıpkı Qwen3-Next modelinde olduğu gibi Qwen3.5’te de alışılmadık derecede yüksek; bu da birçok özelleşmiş uzman arasında oldukça hassas bir bölünme olduğunu gösteriyor. Alibaba ayrıca, hesaplama maliyetlerini daha da düşürmek için Gated Delta Networks adı verilen yeni bir dikkat mimarisi (attention architecture) geliştirdi.

Qwen ekibi, Qwen3.5’in istekleri, çok daha büyük olan selefi Qwen3-Max’ten 19 kat, doğrudan selefi Qwen3-235B’den ise 256.000 tokenlik bağlam penceresiyle 3,5 ile 7 kat daha hızlı işlediğini belirtiyor. Performans ise benzer bir seviyede kalıyor.

Qwen3.5 Ajan Görevlerinde ve Görüntü Anlamada İlerliyor

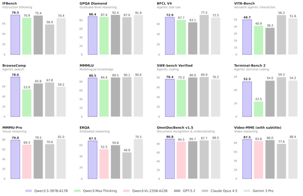
Qwen3.5 bazı kıyaslamalarda yeni rekorlar kırsa da diğerlerinde GPT-5.2, Claude 4.5 Opus ve Gemini 3 Pro modellerinin gerisinde kalıyor. En büyük ilerleme ajan görevlerinde görülüyor; bir modelin otonom bir ajan olarak ne kadar iyi performans gösterdiğini ölçen TAU2 testinde Qwen3.5, GPT-5.2’nin (87,1) ve Claude 4.5 Opus’un (91,6) hemen arkasında 86,7 puan alıyor. Karmaşık talimat takibi için IFBench (76,5) ve MultiChallenge (67,6) testlerinde alanındaki en iyi puanları kaydediyor. Uygulamada model, bir görsel ve komutların birleşiminden bir sunum dosyası oluşturabiliyor.

Alibaba, Qwen3.5’in MathVision (88,6) ve ZEROBench (12) dahil olmak üzere birçok matematik-görsel kıyaslamasında en yüksek puanlara ulaştığını söylüyor. Ayrıca belge anlama ve metin tanıma testlerinin çoğunda liderlik ediyor fakat daha kapsamlı görüntü anlama testi olan MMMU’da, 85 puanla Gemini 3 Pro (87,2) ve GPT-5.2 (86,7) modellerini geriden takip ediyor.

Klasik akıl yürütme ve kodlama alanlarında diğer modeller hala önde; GPT-5.2 LiveCodeBench testinde 87,7 puan alırken Qwen3.5 83,6 puanda kalıyor. AIME26 gibi matematik yarışması görevlerinde model, GPT-5.2 (96,7) ve Claude 4.5 Opus (93,3) modellerinin arkasında 91,3 puan elde ediyor.

Daha Fazla Eğitim Verisi ve Yoğun Pekiştirmeli Öğrenme Kazanımları Artırıyor

Ekip, önceki Qwen3 serisine göre yaşanan bu sıçramayı, eğitim sırasındaki devasa genişletilmiş pekiştirmeli öğrenme aşamasına bağlıyor. Modeli tekil kıyaslamalar için optimize etmek yerine, eğitim ortamlarının çeşitliliğini ve zorluğunu sistematik şekilde artırdılar. En büyük getiri ajan becerilerinde ortaya çıktı.

Alibaba ayrıca modelin selefine göre çok daha fazla veriyle eğitildiğini ve aynı zamanda daha sıkı bir filtreleme uygulandığını belirtiyor. Verimli mimarisine rağmen Qwen3.5, bir trilyondan fazla parametreye sahip olan Qwen3-Max-Base modelinin performansıyla eşleşiyor.

Dil desteği 119’dan 201’e çıktı. 150.000’den 250.000’e yükseltilen genişletilmiş kelime dağarcığı, çoğu dilde işlem hızını %10 ile %60 oranında artırıyor.

Qwen3.5 Labirent Çözmekten Masaüstü İş Akışlarını Yönetmeye Geçiyor

Yerel çok modlu bir model olan Qwen3.5, Alibaba’ya göre iki saate kadar video işleyebiliyor. Yayımlanan demolarda şirket, modelin bir labirenti çözmek ve en kısa yolu görselleştirmek için kendi başına Python kodu yazdığını gösteriyor. Başka bir örnekte ise trafik videolarını izleyerek trafik ışığı aşamalarına göre sürüş kararlarını açıklıyor.

Bir grafik kullanıcı arayüzü ajanı olarak Qwen3.5, akıllı telefon ve bilgisayar arayüzlerini kendi başına yönetebiliyor. Örneğin Excel tablolarını doldurabiliyor veya çok adımlı masaüstü iş akışlarını çalıştırabiliyor. Geliştiriciler için Alibaba, doğal dil talimatlarını çalışan kodlara dönüştüren Qwen Code gibi araçlarla entegrasyon sunuyor.

Geleceğe bakıldığında Qwen ekibi, bir sonraki adımın model ölçeklendirmeden sistem entegrasyonuna geçmek olduğunu söylüyor. Gelecekteki ajanların kalıcı belleğe sahip olması, zamanla kendilerini geliştirmesi ve maliyet kısıtlamalarını hesaba katması hedefleniyor. Alibaba, görev bazlı asistanlar yerine karmaşık işleri birkaç gün boyunca bağımsız şekilde yürüten otonom sistemler inşa etmek istiyor.

Erişilebilirlik

Açık ağırlıklı Qwen3.5-397B-A17B modeli Hugging Face üzerinden indirilebiliyor ve ticari kullanıma ile modifikasyona izin veren Apache 2.0 lisansı ile sunuluyor. Geliştiriciler modeli doğrudan tarayıcı üzerinden Qwen Chat arayüzü aracılığıyla Auto, Thinking veya Fast modlarında deneyebiliyor.

Bir milyon tokenlik bağlam penceresine sahip olan barındırılan sürüm Qwen3.5-Plus, Alibaba Cloud Model Studio üzerinden API aracılığıyla erişilebiliyor ve web araması, kod yorumlayıcı ve uyarlanabilir akıl yürütmeyi destekliyor. Qwen3.5, kodlama ajanı olarak kullanılmak üzere Qwen Code gibi araçlara da bağlanabiliyor.

Model, API üzerinden bir milyon giriş tokeni için 0,40 dolar, bir milyon çıkış tokeni için ise 2,40 dolar maliyetle çalışıyor. Bu rakamlar, OpenAI veya Anthropic’in kıyaslanabilir modeller için talep ettiği ücretlerin çok küçük bir kısmına denk geliyor ve Çinli YZ laboratuvarları için artık standart kabul ediliyor. Çinli YZ şirketleri henüz ABD kurumsal pazarına giremedi ancak maliyet odaklı girişimler arasında ilgi gördükleri bildiriliyor.

Çinli YZ Laboratuvarları Tempoyu Koruyor

Qwen3.5, Çinli YZ laboratuvarları arasında kızışan yarışın tam ortasında yayımlandı. Zhipu AI yakın zamanda, kodlama ve ajan görevlerinde Claude 4.5 Opus ve GPT-5.2 modellerini hedefleyen 744 milyar parametreli açık kaynaklı GLM-5 modelini sundu. Moonshot AI, paralel çalışan 100 adede kadar alt ajanı koordine eden Kimi K2.5 modelini tanıttı. MiniMax ise “ölçülemeyecek kadar ucuz zeka” vaadiyle M2.5 modelini başlattı. Baidu, Ernie 5.0 ve 2,4 trilyon parametresiyle LMArena sıralamasında tüm Çinli modeller arasında zirveye yerleşti.

Bu modellerin ortak noktası, Batılı modellerle eşleşen kıyaslama performansı, açık erişilebilirlik ve API erişimi isteyenler için Batılı rakiplerine göre çok düşük fiyatlar sunmalarıdır. DeepSeek şirketinin bir trilyon parametreli bir sonraki büyük modeli hala gecikmiş durumda ancak bu hafta yayımlanabileceği konuşuluyor.

Kaynak: https://the-decoder.com/alibabas-free-qwen3-5-signals-that-chinas-open-weight-ai-race-is-far-from-slowing-down/
Bu Yazıya Tepkiniz Ne Oldu?
  • 0
    be_endim
    Beğendim
  • 0
    alk_l_yorum
    Alkışlıyorum
  • 0
    e_lendim
    Eğlendim
  • 0
    d_nceliyim
    Düşünceliyim
  • 0
    _rendim
    İğrendim
  • 0
    sevdim
    Sevdim
  • 0
    _ok_k_zd_m
    Çok Kızdım
İlginizi Çekebilir

E-posta adresiniz yayınlanmayacak. Gerekli alanlar * ile işaretlenmişlerdir